Официальное опубликование правовых актов
ОФИЦИАЛЬНОЕ ОПУБЛИКОВАНИЕ
Приказ управления по государственному регулированию тарифов Воронежской области
от 07.12.2018 № 49/45
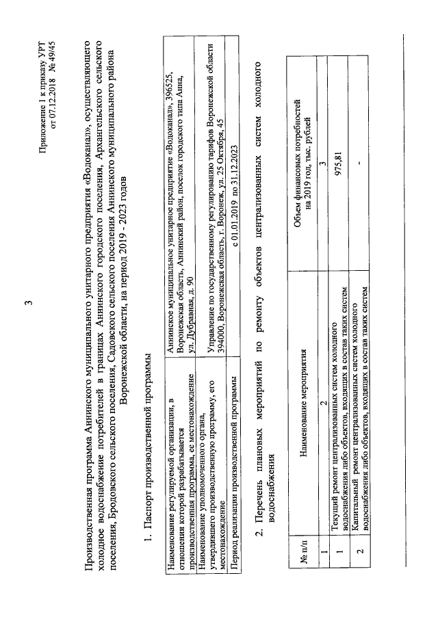
"Об установлении долгосрочных параметров регулирования деятельности и тарифов на питьевую воду (питьевое водоснабжение) для Аннинского муниципального унитарного предприятия "Водоканал", осуществляющего холодное водоснабжение потребителей в границах Аннинского городского поселения, Архангельского сельского поселения, Бродовского сельского поселения, Садовского сельского поселения Аннинского муниципального района Воронежской области, на период 2019 - 2023 годов"
(Зарегистрирован 12.12.2018 № 1140)
Номер опубликования: 3601201812130024
Дата опубликования: 13.12.2018
Страница №3 из 7:
Увеличить