Официальное опубликование правовых актов
ОФИЦИАЛЬНОЕ ОПУБЛИКОВАНИЕ
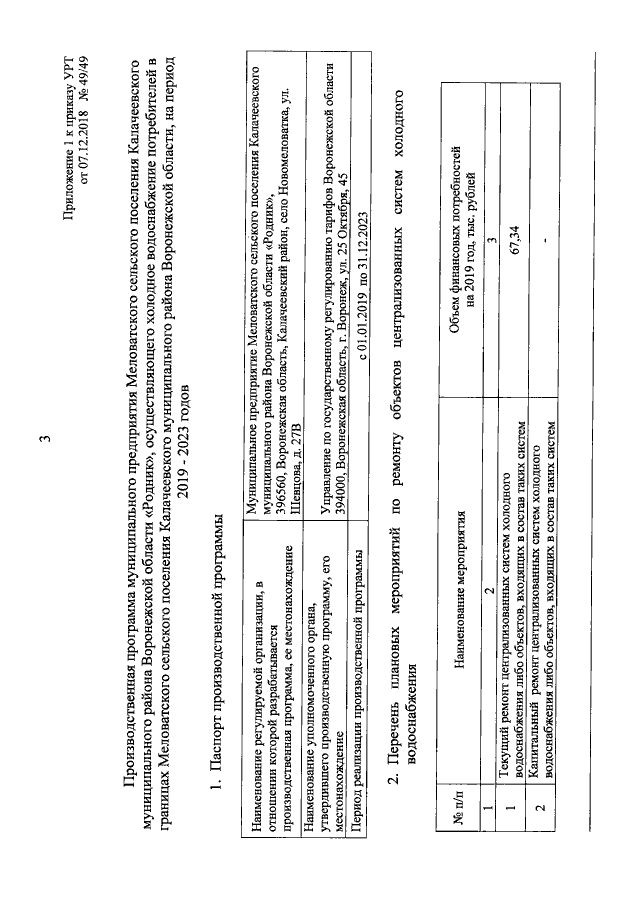
Приказ управления по государственному регулированию тарифов Воронежской области
от 07.12.2018 № 49/49
"Об установлении долгосрочных параметров регулирования деятельности и тарифов на питьевую воду (питьевое водоснабжение) для муниципального предприятия Меловатского сельского поселения Калачеевского муниципального района Воронежской области "Родник", осуществляющего холодное водоснабжение потребителей в границах Меловатского сельского поселения Калачеевского муниципального района Воронежской области, на период 2019 - 2023 годов"
(Зарегистрирован 12.12.2018 № 1152)
Номер опубликования: 3601201812130021
Дата опубликования: 13.12.2018
Страница №3 из 7:
Увеличить