Официальное опубликование правовых актов
ОФИЦИАЛЬНОЕ ОПУБЛИКОВАНИЕ
Приказ управления по государственному регулированию тарифов Воронежской области
от 07.12.2018 № 49/43
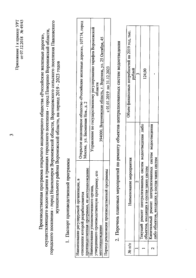
"Об установлении долгосрочных параметров регулирования деятельности и тарифов на водоотведение для открытого акционерного общества "Российские железные дороги", осуществляющего водоотведение в границах городского поселения - город Поворино Воронежской области, городского поселения - город Новохоперск Воронежской области, Воронцовского сельского поселения Павловского муниципального района Воронежской области, на период 2019 - 2023 годов"
(Зарегистрирован 12.12.2018 № 1142)
Номер опубликования: 3601201812130016
Дата опубликования: 13.12.2018
Страница №3 из 7:
Увеличить