Официальное опубликование правовых актов
ОФИЦИАЛЬНОЕ ОПУБЛИКОВАНИЕ
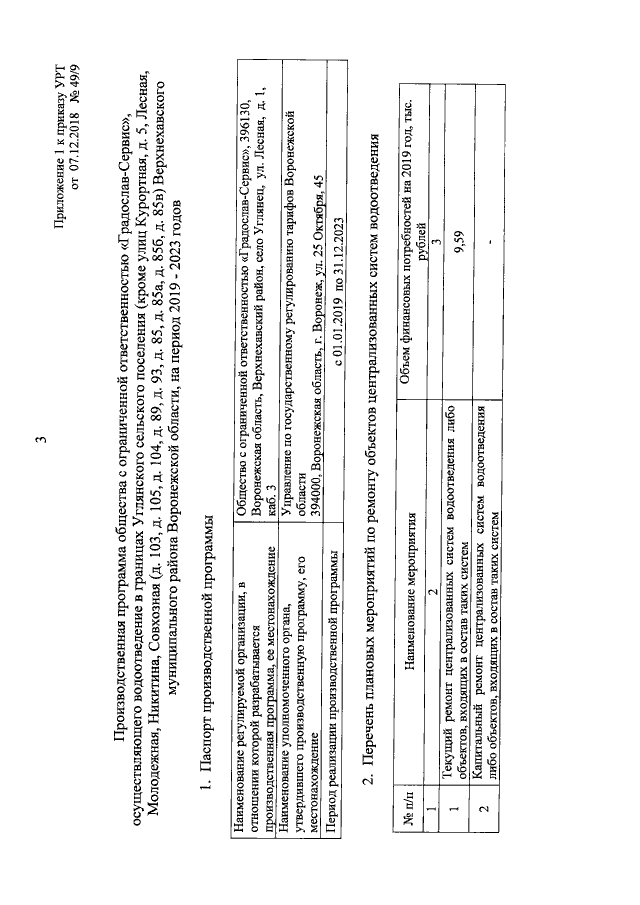
Приказ управления по государственному регулированию тарифов Воронежской области
от 07.12.2018 № 49/9
"Об установлении долгосрочных параметров регулирования деятельности и тарифов на водоотведение для общества с ограниченной ответственностью "Градослав-Сервис", осуществляющего водоотведение в границах Углянского сельского поселения (кроме улиц Курортная, д. 5, Лесная, Молодежная, Никитина, Совхозная (д. 103, д. 105, д. 104, д. 89, д. 93, д. 85, д. 85а, д. 85б, д. 85в) Верхнехавского муниципального района Воронежской области, на период 2019 - 2023 годов"
(Зарегистрирован 11.12.2018 № 1119)
Номер опубликования: 3601201812120014
Дата опубликования: 12.12.2018
Страница №3 из 7:
Увеличить