Официальное опубликование правовых актов
ОФИЦИАЛЬНОЕ ОПУБЛИКОВАНИЕ
Приказ управления по государственному регулированию тарифов Воронежской области
от 03.12.2018 № 48/68
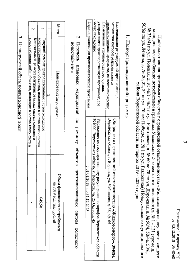
"Об установлении долгосрочных параметров регулирования деятельности и тарифов на питьевую воду (питьевое водоснабжение) для общества с ограниченной ответственностью "Жилкомэнерго", осуществляющего холодное водоснабжение потребителей в границах Усманского 2-го сельского поселения (д. № 1 - 121 (кроме д. № 33а/4) по ул. Полевая, д. № 4б/1 - 4б/4 по ул. Ростовская, д. № 60 по 78 по ул. Дорожная, д. № 50/4, 50/4а, 50/6, 50/6а по ул. Ленина, д. № 20, 22, 24 по ул. 70 лет Победы, д. № 1 по ул. Раздольная) Новоусманского муниципального района Воронежской области, на период 2019 - 2023 годов"
(Зарегистрирован 06.12.2018 № 1095)
Номер опубликования: 3601201812070046
Дата опубликования: 07.12.2018
Страница №3 из 7:
Увеличить