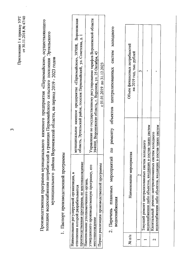
Приказ управления по государственному регулированию тарифов Воронежской области
от 30.11.2018 № 47/40
"Об установлении долгосрочных параметров регулирования деятельности и тарифов на питьевую воду (питьевое водоснабжение) для муниципального казенного предприятия "Первомайское", осуществляющего холодное водоснабжение потребителей в границах Первомайского сельского поселения Эртильского муниципального района Воронежской области, на период 2019-2023 годов"
(Зарегистрирован 05.12.2018 № 1016)
от 30.11.2018 № 47/40
"Об установлении долгосрочных параметров регулирования деятельности и тарифов на питьевую воду (питьевое водоснабжение) для муниципального казенного предприятия "Первомайское", осуществляющего холодное водоснабжение потребителей в границах Первомайского сельского поселения Эртильского муниципального района Воронежской области, на период 2019-2023 годов"
(Зарегистрирован 05.12.2018 № 1016)
Номер опубликования: 3601201812060027
Дата опубликования:
06.12.2018
