Официальное опубликование правовых актов
ОФИЦИАЛЬНОЕ ОПУБЛИКОВАНИЕ
Приказ управления по государственному регулированию тарифов Воронежской области
от 27.11.2018 № 46/17
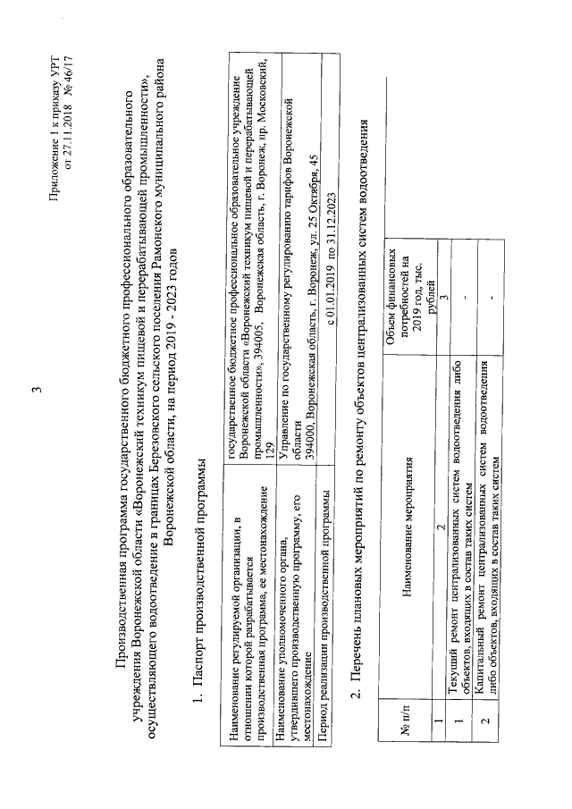
"Об установлении долгосрочных параметров регулирования деятельности и тарифов на водоотведение для государственного бюджетного профессионального образовательного учреждения Воронежской области "Воронежский техникум пищевой и перерабатывающей промышленности", осуществляющего водоотведение в границах Березовского сельского поселения Рамонского муниципального района Воронежской области, на период 2019 - 2023 годов"
(Зарегистрирован 30.11.2018 № 943)
Номер опубликования: 3601201812030016
Дата опубликования: 03.12.2018
Страница №3 из 7:
Увеличить