Официальное опубликование правовых актов
ОФИЦИАЛЬНОЕ ОПУБЛИКОВАНИЕ
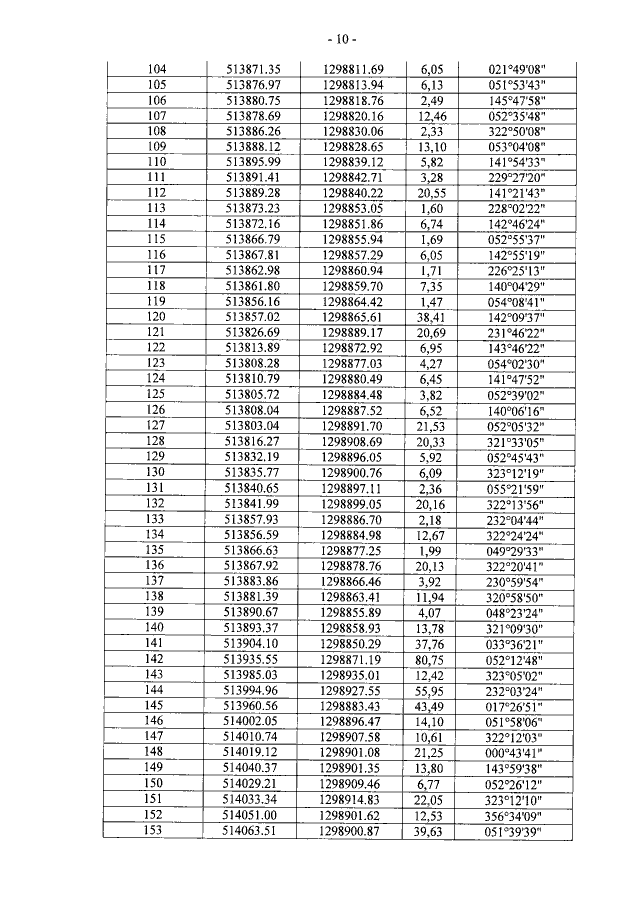
Приказ управления по охране объектов культурного наследия Воронежской области от 26.10.2018 № 71-01-07/228
"Об утверждении границ защитных зон объектов культурного наследия, расположенных на территории Воронежской области"
(Зарегистрирован 13.11.2018 № 791)
Номер опубликования: 3601201811150001
Дата опубликования: 15.11.2018
Страница №10 из 118:
Увеличить