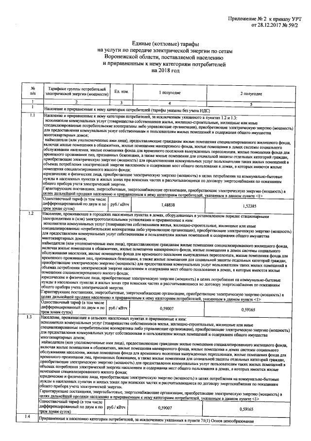
Приказ управления по государственному регулированию тарифов Воронежской области
от 28.12.2017 № 59/2
"Об установлении единых (котловых) тарифов на услуги по передаче электрической энергии по сетям Воронежской области на 2018 год"
(Зарегистрирован 29.12.2017 № 1525)
от 28.12.2017 № 59/2
"Об установлении единых (котловых) тарифов на услуги по передаче электрической энергии по сетям Воронежской области на 2018 год"
(Зарегистрирован 29.12.2017 № 1525)
Номер опубликования: 3601201712290024
Дата опубликования:
29.12.2017
