Официальное опубликование правовых актов
ОФИЦИАЛЬНОЕ ОПУБЛИКОВАНИЕ
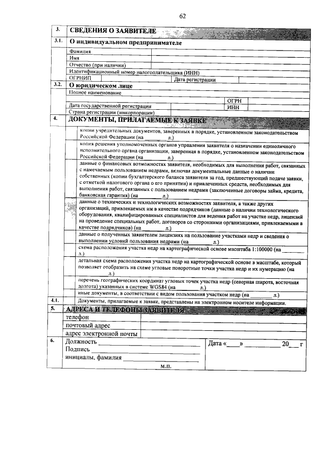
Приказ департамента природных ресурсов и экологии Воронежской области от 23.08.2017 № 443
"Об утверждении административного регламента по предоставлению государственной услуги "Оформление, государственная регистрация и выдача лицензий на пользование участками недр местного значения"
(Зарегистрирован 08.09.2017 № 575)
Номер опубликования: 3601201709120001
Дата опубликования: 12.09.2017
Страница №62 из 89:
Увеличить