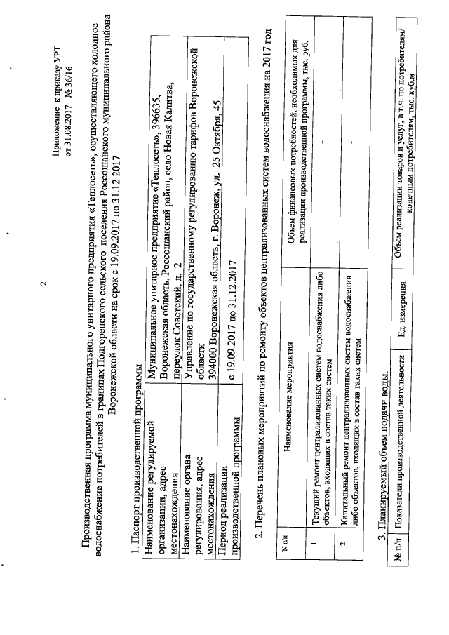
Приказ управления по государственному регулированию тарифов Воронежской области
от 31.08.2017 № 36/16
"Об установлении тарифов на питьевую воду (питьевое водоснабжение) для муниципального унитарного предприятия "Теплосеть", осуществляющего холодное водоснабжение потребителей в границах Подгоренского сельского поселения Россошанского муниципального района Воронежской области"
(Зарегистрирован 05.09.2017 № 566)
от 31.08.2017 № 36/16
"Об установлении тарифов на питьевую воду (питьевое водоснабжение) для муниципального унитарного предприятия "Теплосеть", осуществляющего холодное водоснабжение потребителей в границах Подгоренского сельского поселения Россошанского муниципального района Воронежской области"
(Зарегистрирован 05.09.2017 № 566)
Номер опубликования: 3601201709080002
Дата опубликования:
08.09.2017
