Официальное опубликование правовых актов
ОФИЦИАЛЬНОЕ ОПУБЛИКОВАНИЕ
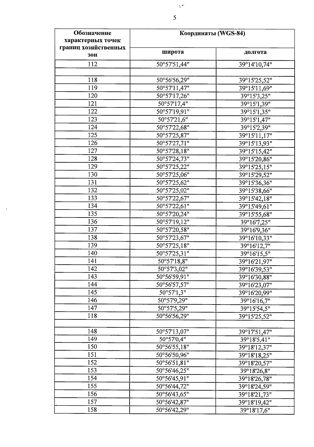
Постановление Правительства Воронежской области от 24.12.2025 № 816
"О внесении изменений в постановление Правительства Воронежской области от 22.12.2017 № 1066"
Номер опубликования: 3600202512250011
Дата опубликования: 25.12.2025
Страница №14 из 108:
Увеличить