Официальное опубликование правовых актов
ОФИЦИАЛЬНОЕ ОПУБЛИКОВАНИЕ
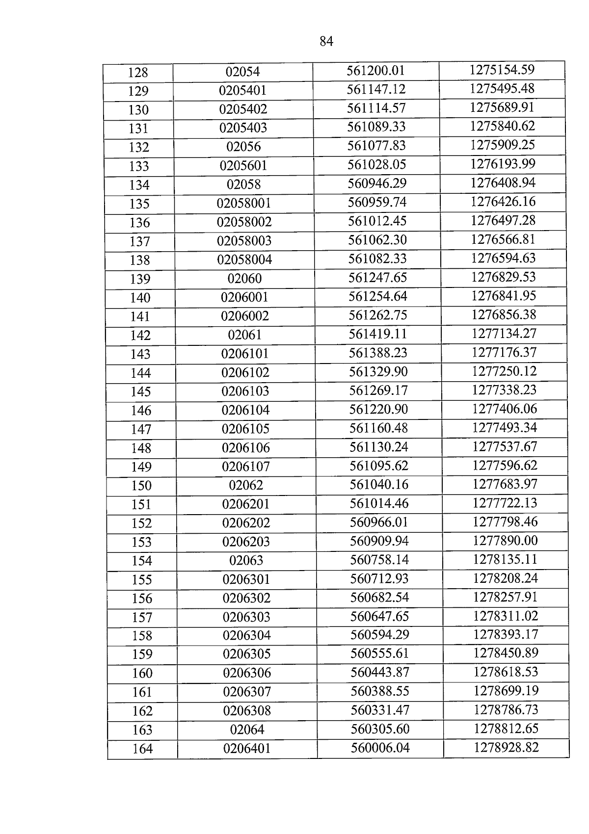
Закон Воронежской области от 02.09.2025 № 102-ОЗ
"О внесении изменений в отдельные законодательные акты Воронежской области"
Номер опубликования: 3600202509020007
Дата опубликования: 02.09.2025
Страница №84 из 360:
Увеличить