Официальное опубликование правовых актов
ОФИЦИАЛЬНОЕ ОПУБЛИКОВАНИЕ
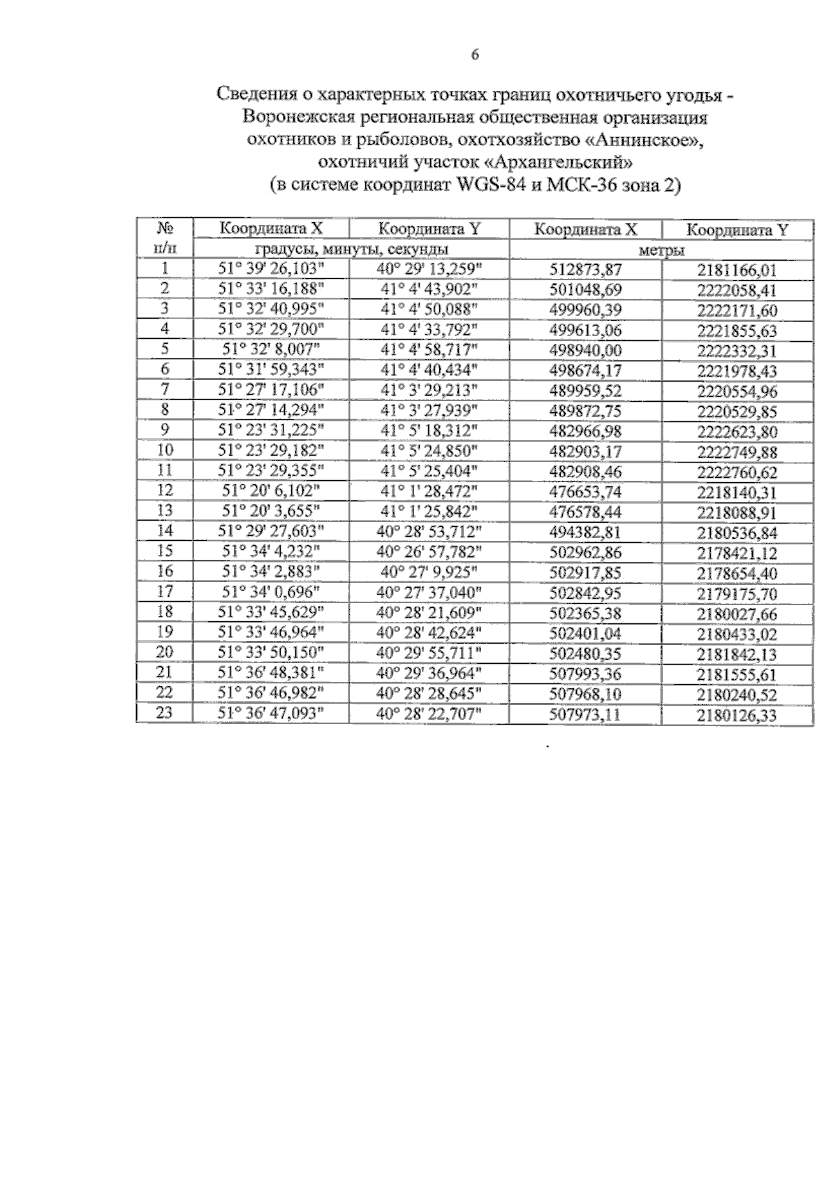
Указ Губернатора Воронежской области от 16.06.2025 № 105-у
"Об утверждении схемы размещения, использования и охраны охотничьих угодий на территории Воронежской области"
Номер опубликования: 3600202506200007
Дата опубликования: 20.06.2025
Страница №393 из 6205:
Увеличить