Официальное опубликование правовых актов
ОФИЦИАЛЬНОЕ ОПУБЛИКОВАНИЕ
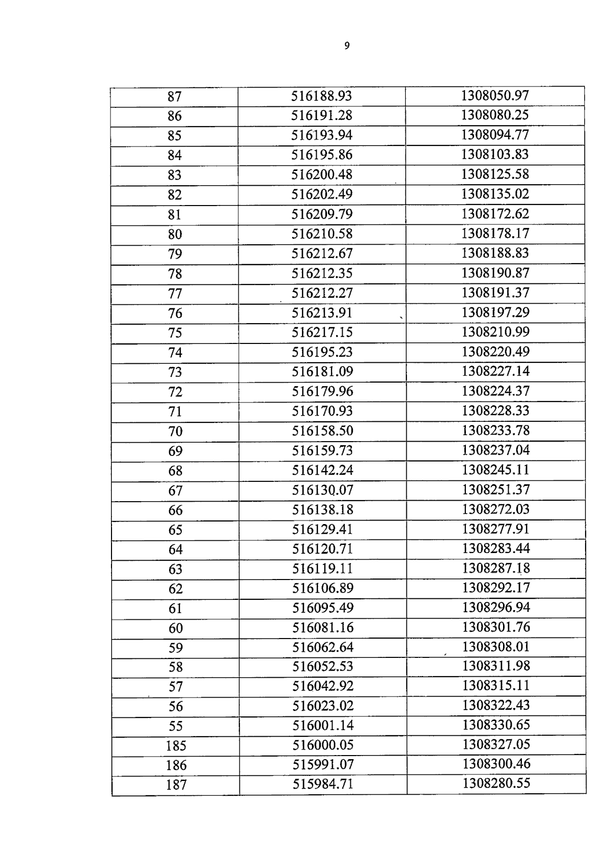
Постановление Правительства Воронежской области от 26.02.2025 № 111
"Об утверждении зон охраны объектов культурного наследия регионального значения, расположенных на территории городского округа город Воронеж, и требований к градостроительным регламентам в границах территорий указанных зон"
Номер опубликования: 3600202502280007
Дата опубликования: 28.02.2025
Страница №11 из 41:
Увеличить