Официальное опубликование правовых актов
ОФИЦИАЛЬНОЕ ОПУБЛИКОВАНИЕ
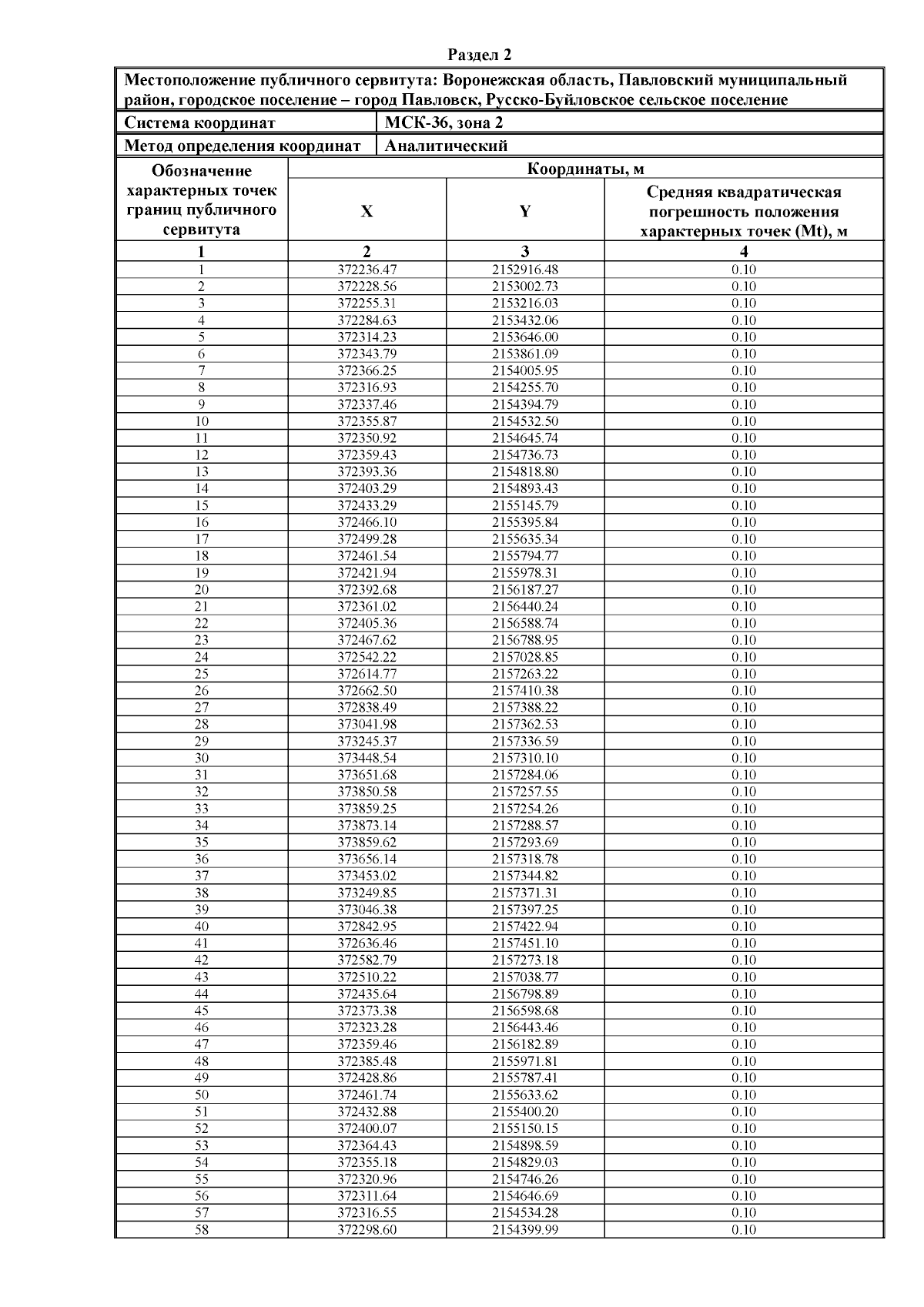
Постановление Правительства Воронежской области от 28.12.2024 № 896
"Об установлении публичного сервитута"
Номер опубликования: 3600202412280030
Дата опубликования: 28.12.2024
Страница №6 из 14:
Увеличить