Официальное опубликование правовых актов
ОФИЦИАЛЬНОЕ ОПУБЛИКОВАНИЕ
Постановление Правительства Воронежской области от 10.10.2024 № 681
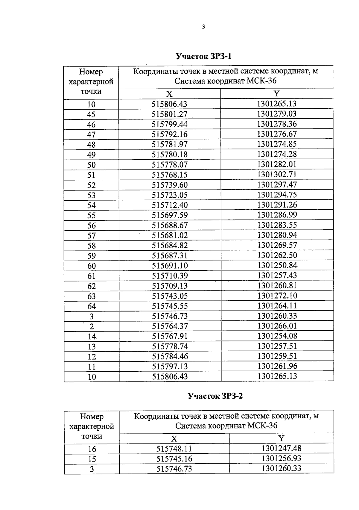
"Об утверждении зон охраны объекта культурного наследия регионального значения "Дом жилой", расположенного по адресу: Воронежская область, г. Воронеж, ул. Сакко и Ванцетти, 9, и требований к градостроительным регламентам в границах территорий указанных зон"
Номер опубликования: 3600202410110001
Дата опубликования: 11.10.2024
Страница №5 из 16:
Увеличить