Официальное опубликование правовых актов
ОФИЦИАЛЬНОЕ ОПУБЛИКОВАНИЕ
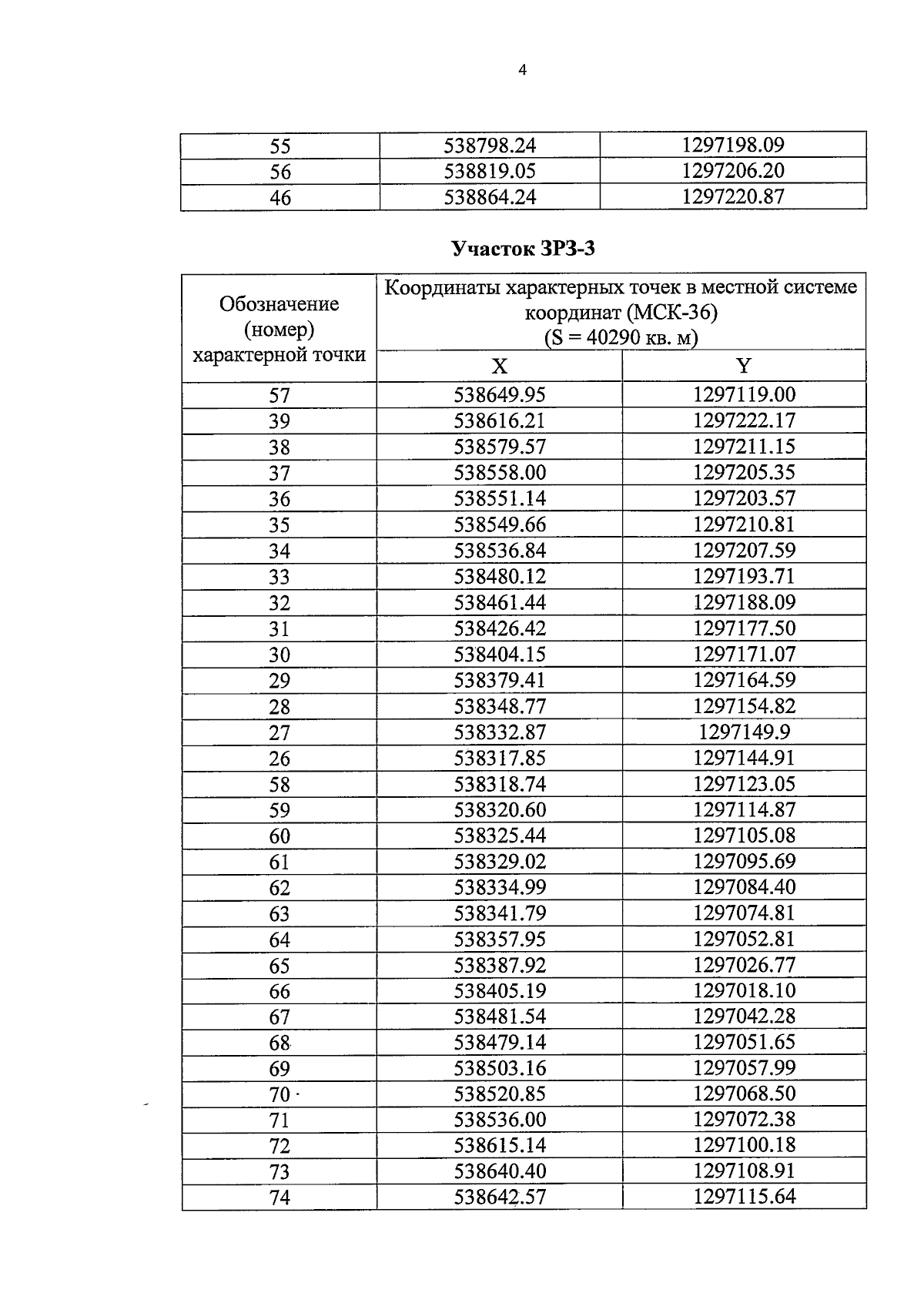
Постановление Правительства Воронежской области от 20.09.2024 № 653
"Об утверждении зон охраны объекта культурного наследия федерального значения "Главный дом усадьбы Веневитиновых", расположенного по адресу: Воронежская область, Рамонский район, с. Новоживотинное, ул. Школьная, 18, и требований к градостроительным регламентам в границах территорий указанных зон"
Номер опубликования: 3600202409250007
Дата опубликования: 25.09.2024
Страница №6 из 21:
Увеличить