Официальное опубликование правовых актов
ОФИЦИАЛЬНОЕ ОПУБЛИКОВАНИЕ
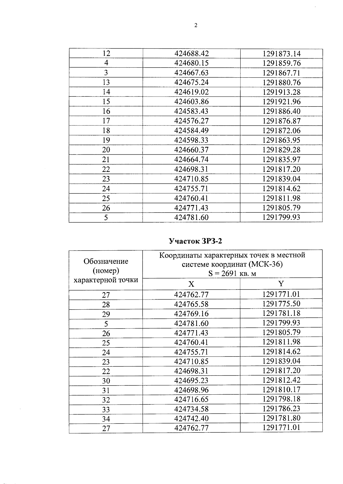
Постановление Правительства Воронежской области от 23.04.2024 № 276
"Об утверждении зон охраны объекта культурного наследия регионального значения "Дом Малгина", расположенного по адресу: Воронежская область, Острогожский район, г. Острогожск, ул. Карла Маркса, 31, и требований к градостроительным регламентам в границах территорий указанных зон"
Номер опубликования: 3600202404250002
Дата опубликования: 25.04.2024
Страница №4 из 9:
Увеличить