Официальное опубликование правовых актов
ОФИЦИАЛЬНОЕ ОПУБЛИКОВАНИЕ
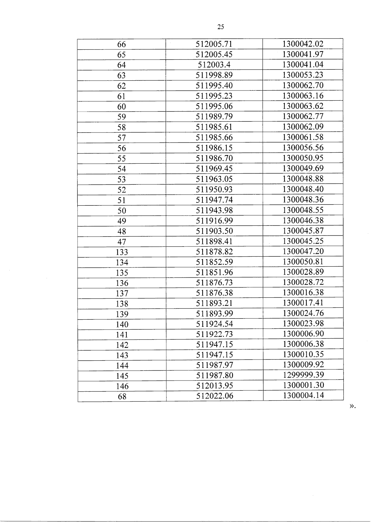
Постановление Правительства Воронежской области от 26.03.2024 № 198
"О внесении изменений в постановление Правительства Воронежской области от 29.10.2015 № 836"
Номер опубликования: 3600202404010001
Дата опубликования: 01.04.2024
Страница №25 из 26:
Увеличить