Официальное опубликование правовых актов
ОФИЦИАЛЬНОЕ ОПУБЛИКОВАНИЕ
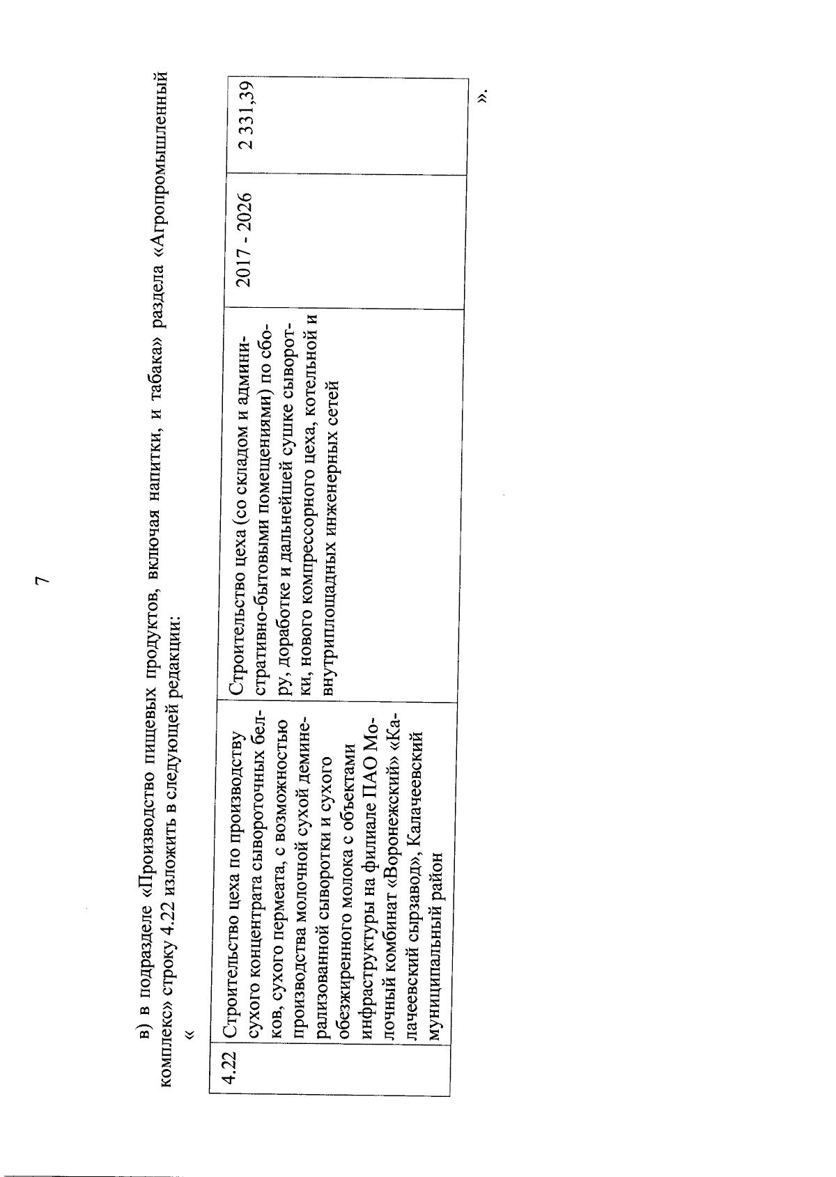
Закон Воронежской области от 31.10.2023 № 93-ОЗ
"О внесении изменений в Закон Воронежской области "О государственной (областной) поддержке инвестиционной деятельности на территории Воронежской области"
Номер опубликования: 3600202311010011
Дата опубликования: 01.11.2023
Страница №7 из 8:
Увеличить