Официальное опубликование правовых актов
ОФИЦИАЛЬНОЕ ОПУБЛИКОВАНИЕ
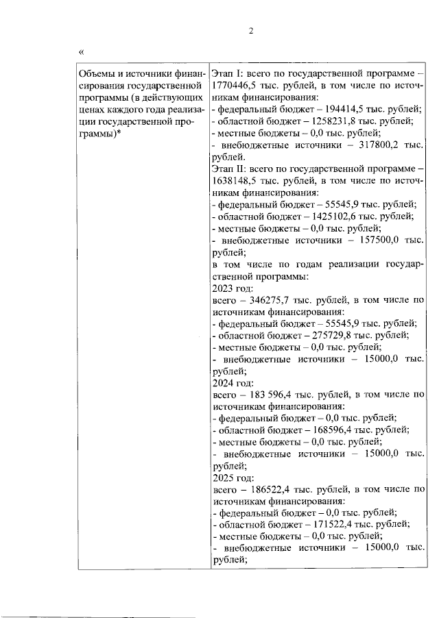
Постановление Правительства Воронежской области от 08.08.2023 № 553
"О внесении изменений в постановление Правительства Воронежской области от 30.10.2015 № 840"
Номер опубликования: 3600202308100010
Дата опубликования: 10.08.2023
Страница №2 из 16:
Увеличить