Официальное опубликование правовых актов
ОФИЦИАЛЬНОЕ ОПУБЛИКОВАНИЕ
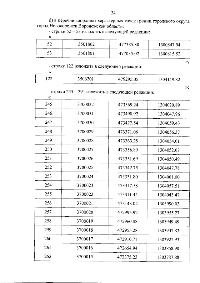
Закон Воронежской области от 09.06.2023 № 58-ОЗ
"О внесении изменений в отдельные законодательные акты Воронежской области"
Номер опубликования: 3600202306140010
Дата опубликования: 14.06.2023
Страница №24 из 26:
Увеличить