Официальное опубликование правовых актов
ОФИЦИАЛЬНОЕ ОПУБЛИКОВАНИЕ
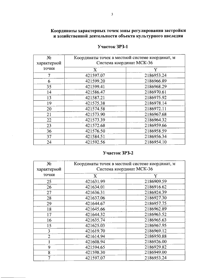
Постановление Правительства Воронежской области от 30.03.2023 № 228
"Об утверждении зон охраны объектов культурного наследия регионального значения, расположенных на территории Бутурлиновского городского поселения Бутурлиновского муниципального района Воронежской области, и требований к градостроительным регламентам в границах территорий указанных зон"
Номер опубликования: 3600202303310005
Дата опубликования: 31.03.2023
Страница №5 из 20:
Увеличить