Официальное опубликование правовых актов
ОФИЦИАЛЬНОЕ ОПУБЛИКОВАНИЕ
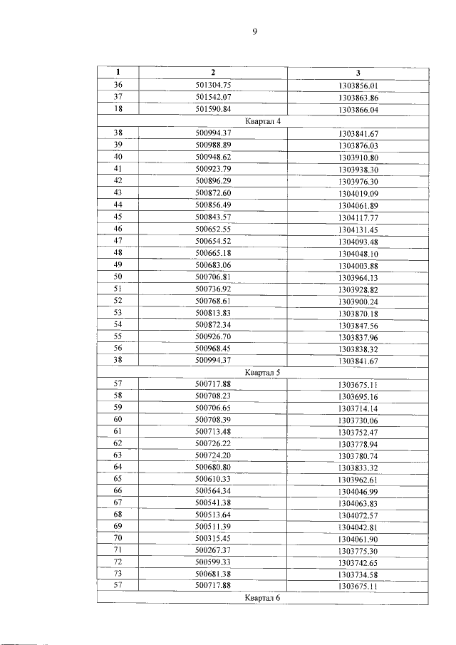
Постановление правительства Воронежской области от 26.12.2022 № 969
"О внесении изменений в постановление правительства Воронежской области от 28.06.2017 № 520"
Номер опубликования: 3600202212270010
Дата опубликования: 27.12.2022
Страница №9 из 39:
Увеличить