Официальное опубликование правовых актов
ОФИЦИАЛЬНОЕ ОПУБЛИКОВАНИЕ
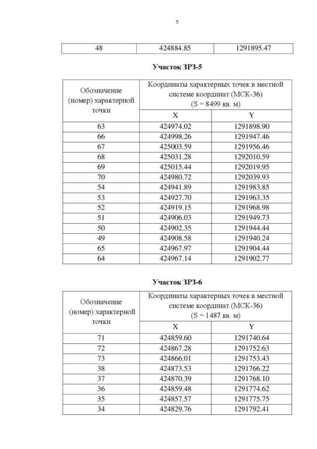
Постановление правительства Воронежской области от 09.12.2022 № 908
"Об утверждении зон охраны объекта культурного наследия регионального значения "Казённый винный склад, административный корпус, цех", расположенного по адресу: Воронежская область, Острогожский район, город Острогожск, ул. Карла Маркса, 44, и требований к градостроительным регламентам в границах территорий указанных зон"
Номер опубликования: 3600202212120007
Дата опубликования: 12.12.2022
Страница №7 из 15:
Увеличить