Официальное опубликование правовых актов
ОФИЦИАЛЬНОЕ ОПУБЛИКОВАНИЕ
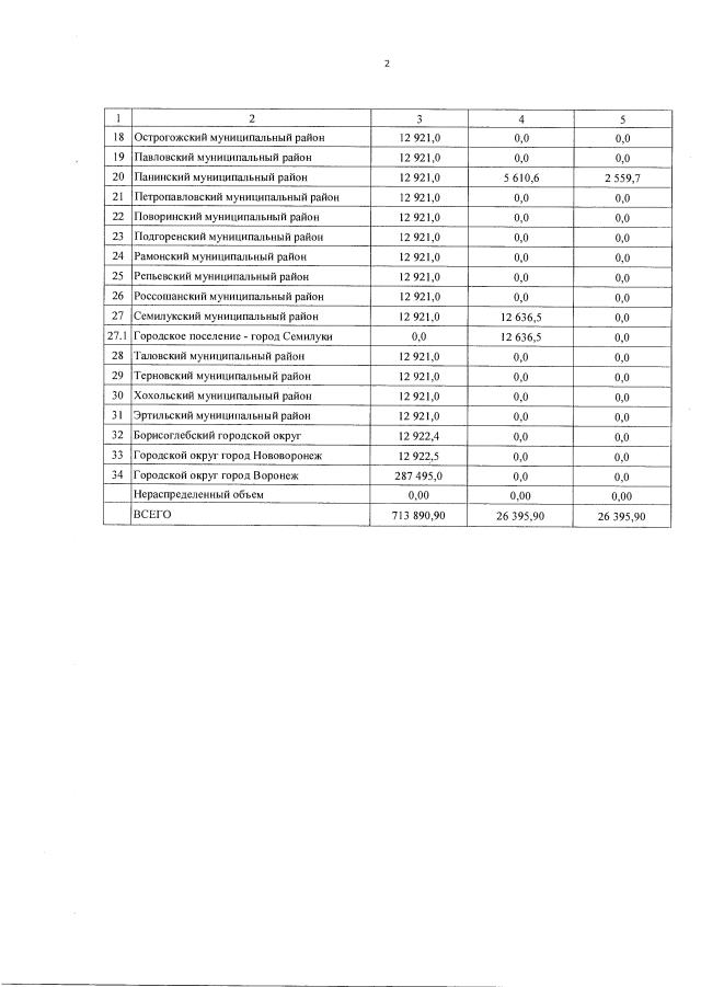
Постановление правительства Воронежской области от 10.06.2022 № 403
"О внесении изменений в распределение субсидий из областного бюджета бюджетам муниципальных образований Воронежской области на софинансирование расходов муниципальных образований на приобретение коммунальной специализированной техники и оборудования на 2022 год и на плановый период 2023 и 2024 годов"
Номер опубликования: 3600202206140005
Дата опубликования: 14.06.2022
Страница №4 из 4:
Увеличить