Официальное опубликование правовых актов
ОФИЦИАЛЬНОЕ ОПУБЛИКОВАНИЕ
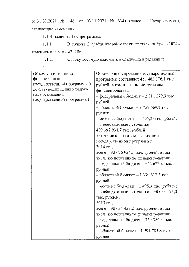
Постановление правительства Воронежской области от 22.12.2021 № 780
"О внесении изменений в постановление правительства Воронежской области от 31.12.2013 № 1190"
Номер опубликования: 3600202112240003
Дата опубликования: 24.12.2021
Страница №2 из 85:
Увеличить