Официальное опубликование правовых актов
ОФИЦИАЛЬНОЕ ОПУБЛИКОВАНИЕ
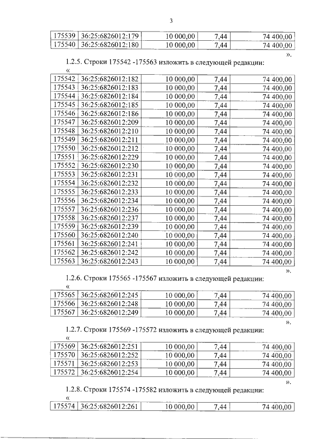
Постановление правительства Воронежской области от 28.12.2019 № 1307
"О внесении изменений в постановление правительства Воронежской области от 31.10.2016 № 827"
Номер опубликования: 3600201912310025
Дата опубликования: 31.12.2019
Страница №3 из 5:
Увеличить