Официальное опубликование правовых актов
ОФИЦИАЛЬНОЕ ОПУБЛИКОВАНИЕ
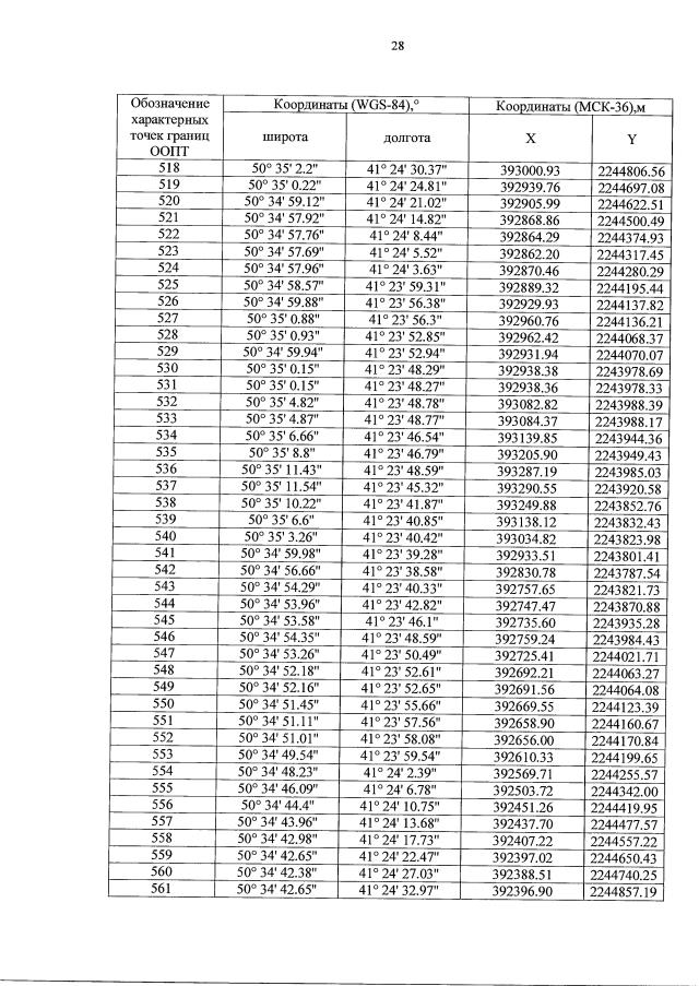
Постановление правительства Воронежской области от 09.06.2018 № 526
"О создании государственного природного заказника областного значения "Яр Рассыпной"
Номер опубликования: 3600201806180012
Дата опубликования: 18.06.2018
Страница №29 из 85:
Увеличить