Официальное опубликование правовых актов
ОФИЦИАЛЬНОЕ ОПУБЛИКОВАНИЕ
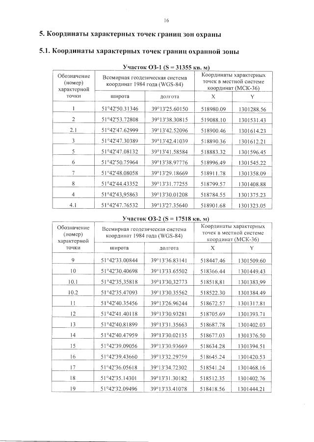
Постановление правительства Воронежской области от 10.05.2018 № 425
"Об утверждении границ зон охраны объекта культурного наследия федерального значения "Комплекс зданий сельскохозяйственного института им. К.Д. Глинки", особых режимов использования земель и требований к градостроительным регламентам в границах указанных зон"
Номер опубликования: 3600201805150026
Дата опубликования: 15.05.2018
Страница №18 из 32:
Увеличить