Официальное опубликование правовых актов
ОФИЦИАЛЬНОЕ ОПУБЛИКОВАНИЕ
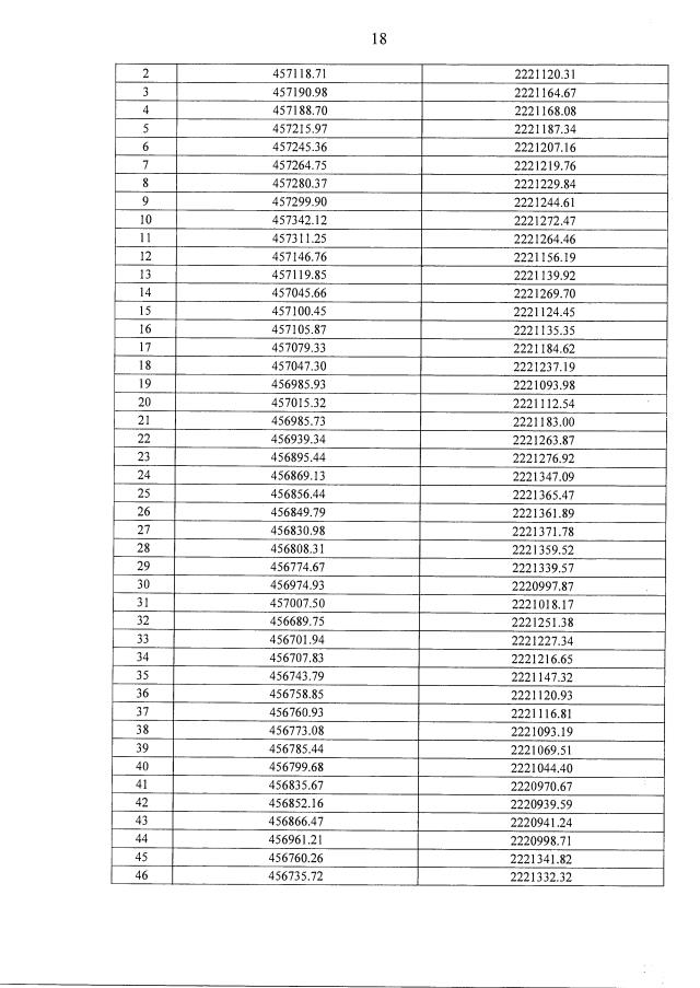
Постановление правительства Воронежской области от 14.02.2018 № 155
"Об утверждении проекта планировки территории для размещения объекта регионального значения: "Межпоселковый газопровод высокого давления к п. Осинки, разводящие газовые сети п. Осинки Таловского муниципального района Воронежской области"
Номер опубликования: 3600201802200010
Дата опубликования: 20.02.2018
Страница №20 из 52:
Увеличить