Официальное опубликование правовых актов
ОФИЦИАЛЬНОЕ ОПУБЛИКОВАНИЕ
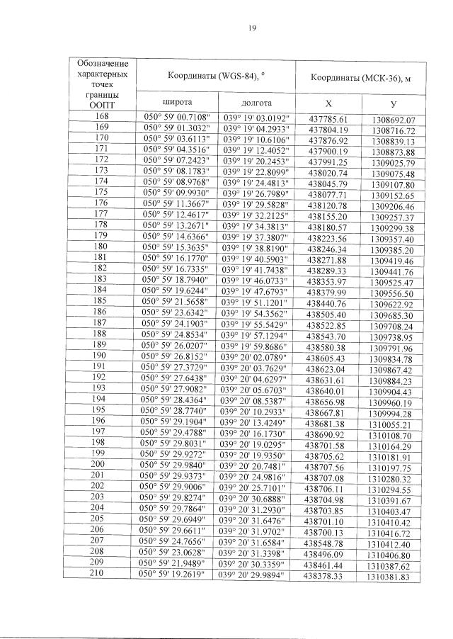
Постановление правительства Воронежской области от 22.12.2017 № 1066
"О создании государственного природного заказника областного значения "Дивногорье"
Номер опубликования: 3600201712280019
Дата опубликования: 28.12.2017
Страница №20 из 32:
Увеличить