Официальное опубликование правовых актов
ОФИЦИАЛЬНОЕ ОПУБЛИКОВАНИЕ
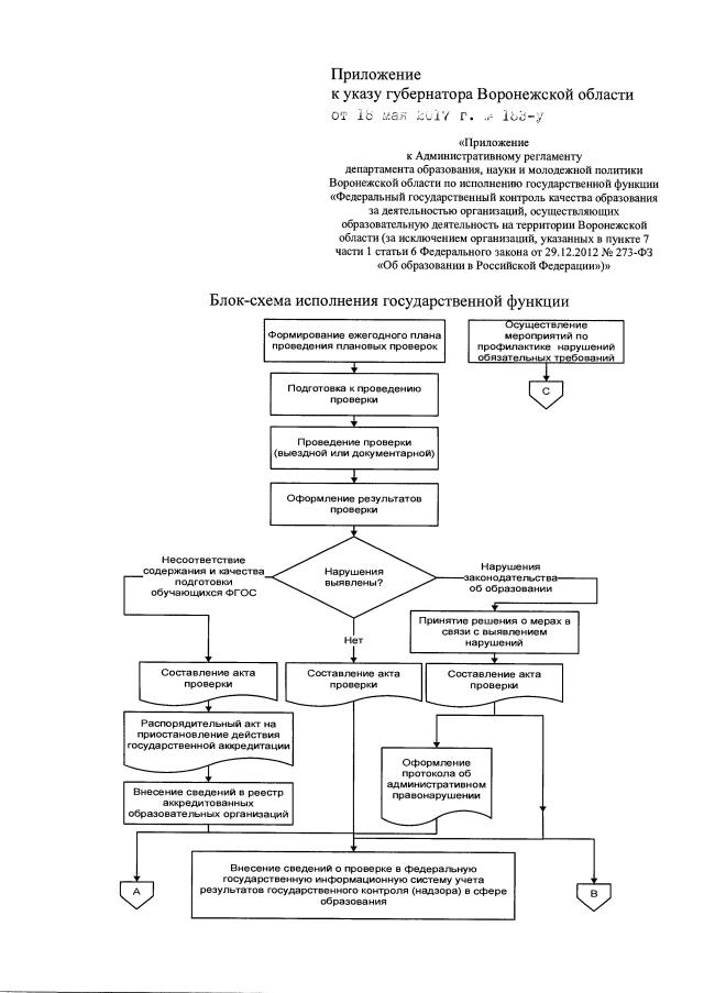
Указ губернатора Воронежской области от 18.05.2017 № 183-у
"О внесении изменений в указ губернатора Воронежской области от 11.11.2015 № 469-у"
Номер опубликования: 3600201705220002
Дата опубликования: 22.05.2017
Страница №7 из 9:
Увеличить