Официальное опубликование правовых актов
ОФИЦИАЛЬНОЕ ОПУБЛИКОВАНИЕ
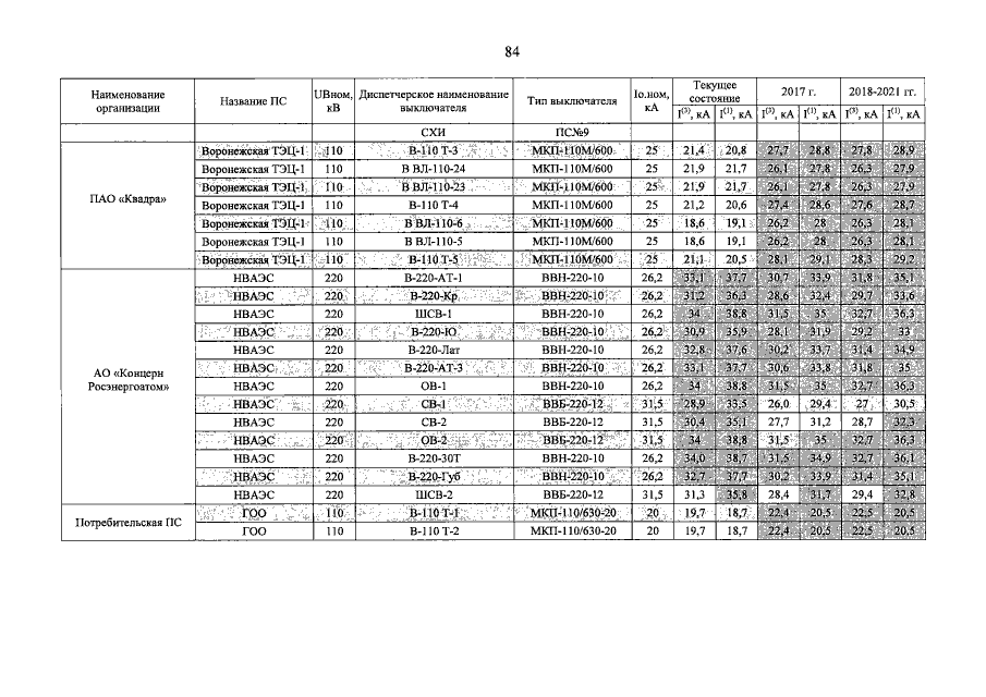
Указ губернатора Воронежской области от 10.11.2016 № 410-у
"Об утверждении схемы и программы перспективного развития электроэнергетики Воронежской области на 2017-2021 годы"
Номер опубликования: 3600201611150004
Дата опубликования: 15.11.2016
Страница №85 из 115:
Увеличить