Официальное опубликование правовых актов
ОФИЦИАЛЬНОЕ ОПУБЛИКОВАНИЕ
Закон Воронежской области от 18.07.2016 № 115-ОЗ
"О внесении изменений в отдельные законодательные акты Воронежской области в связи c изменением границ некоторых муниципальных образований Воронежской области"
Номер опубликования: 3600201607190007
Дата опубликования: 19.07.2016
Страница №70 из 194:
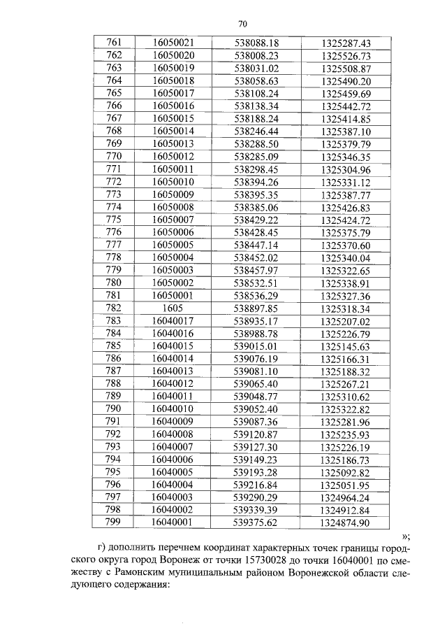
Увеличить