Официальное опубликование правовых актов
ОФИЦИАЛЬНОЕ ОПУБЛИКОВАНИЕ
Постановление правительства Воронежской области от 11.08.2015 № 668
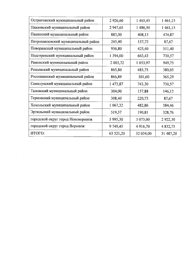
"О распределении в 2015 году субсидий из бюджета Воронежской области бюджетам муниципальных образований Воронежской области на обеспечение жильем молодых семей в рамках государственной программы Воронежской области " Обеспечение доступным и комфортным жильем и коммунальными услугами населения Воронежской области"
Номер опубликования: 3600201508140014
Дата опубликования: 14.08.2015
Страница №4 из 4:
Увеличить