Официальное опубликование правовых актов
ОФИЦИАЛЬНОЕ ОПУБЛИКОВАНИЕ
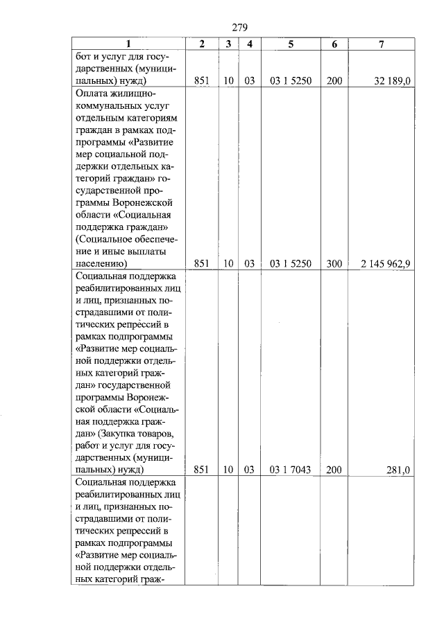
Закон Воронежской области от 11.12.2014 № 171-ОЗ
"Об областном бюджете на 2015 год и на плановый период 2016 и 2017 годов"
Номер опубликования: 3600201412170002
Дата опубликования: 17.12.2014
Страница №279 из 1559:
Увеличить