Официальное опубликование правовых актов
ОФИЦИАЛЬНОЕ ОПУБЛИКОВАНИЕ
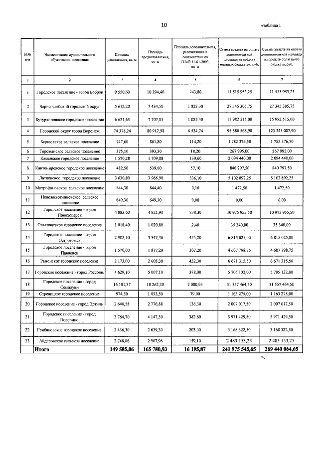
Постановление правительства Воронежской области от 27.11.2014 № 1059
"О внесении изменений в постановление правительства Воронежской области от 30.04.2013 № 363"
Номер опубликования: 3600201412010001
Дата опубликования: 01.12.2014
Страница №10 из 84:
Увеличить