Официальное опубликование правовых актов
ОФИЦИАЛЬНОЕ ОПУБЛИКОВАНИЕ
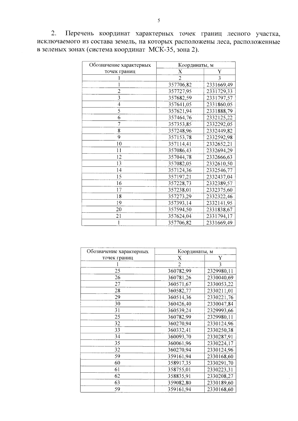
Приказ Министерства лесного комплекса Вологодской области от 30.09.2025 № 1186
"Об изменении границ земель, на которых расположены леса, расположенные в зеленых зонах, на территории Вологодского лесничества Вологодской области"
(Зарегистрирован 30.09.2025 № 1186)
Номер опубликования: 3501202510020003
Дата опубликования: 02.10.2025
Страница №5 из 11:
Увеличить