Официальное опубликование правовых актов
ОФИЦИАЛЬНОЕ ОПУБЛИКОВАНИЕ
Приказ Министерства труда и занятости населения Вологодской области от 07.08.2025 № 304
"О внесении изменения в приказ Департамента труда и занятости населения Вологодской области от 16 января 2012 года № 8"
(Зарегистрирован 07.08.2025 № 304)
Номер опубликования: 3501202508070003
Дата опубликования: 07.08.2025
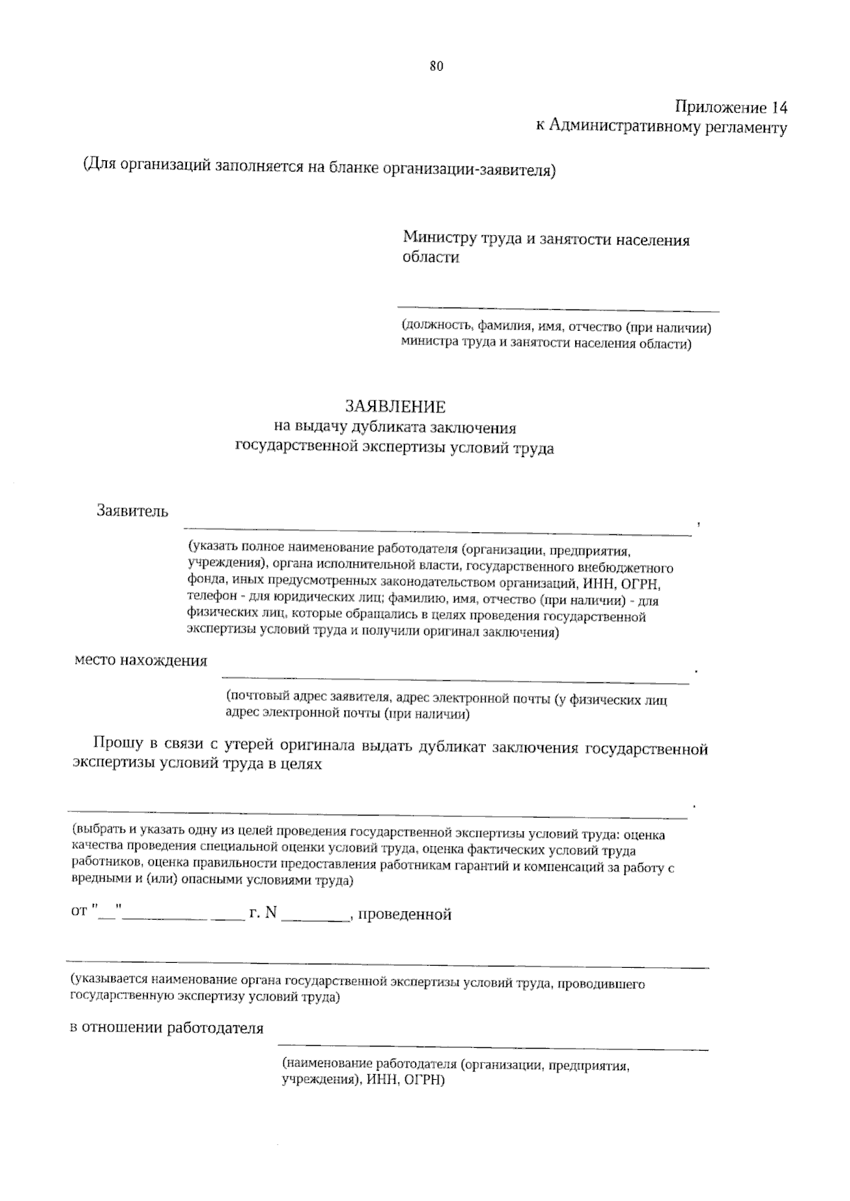
Страница №80 из 81:
Увеличить