Официальное опубликование правовых актов
ОФИЦИАЛЬНОЕ ОПУБЛИКОВАНИЕ
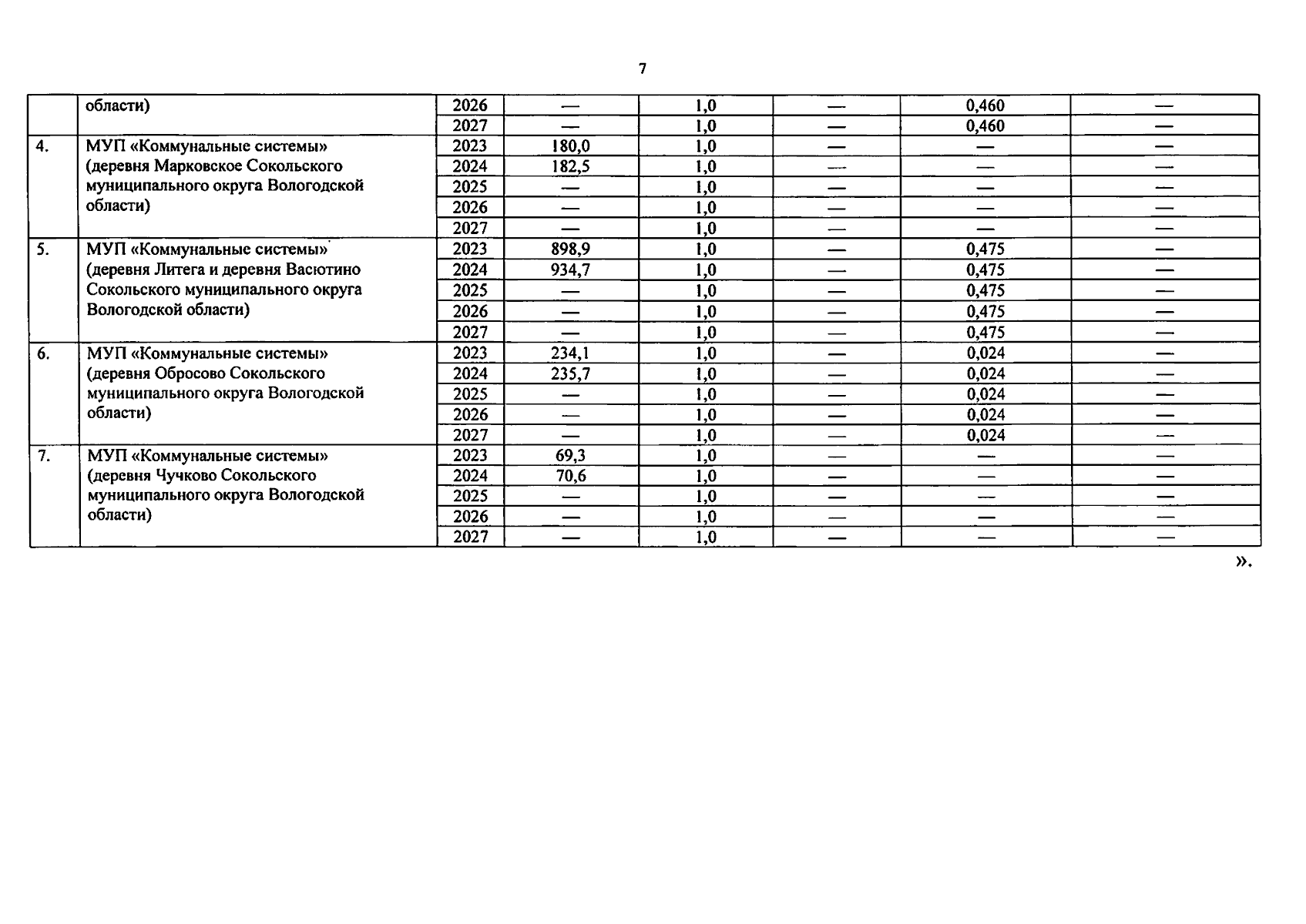
Приказ Департамента топливно-энергетического комплекса и тарифного регулирования Вологодской области от 28.11.2024 № 298-р
"О внесении изменений в приказ Департамента топливно-энергетического комплекса и тарифного регулирования Вологодской области от 17 ноября 2022 года № 260-р"
(Зарегистрирован 28.11.2024 № 298-р)
Номер опубликования: 3501202411280001
Дата опубликования: 28.11.2024
Страница №7 из 28:
Увеличить