Официальное опубликование правовых актов
ОФИЦИАЛЬНОЕ ОПУБЛИКОВАНИЕ
Приказ Министерства природных ресурсов и экологии Вологодской области от 26.11.2024 № 1653
"О внесении изменений в лесохозяйственный регламент Шекснинского лесничества Вологодской области"
(Зарегистрирован 26.11.2024 № 1653)
Номер опубликования: 3501202411260005
Дата опубликования: 26.11.2024
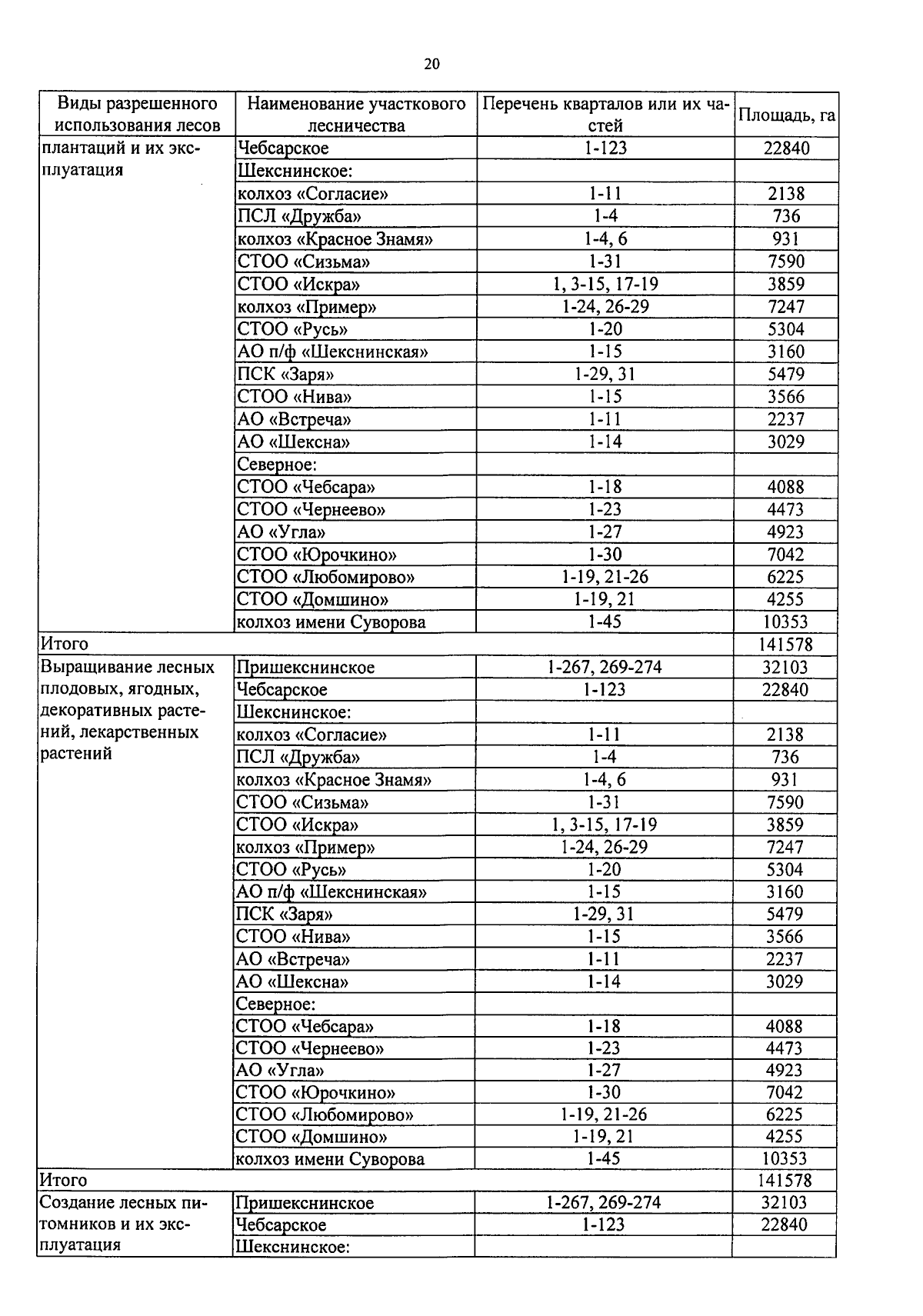
Страница №20 из 29:
Увеличить