Официальное опубликование правовых актов
ОФИЦИАЛЬНОЕ ОПУБЛИКОВАНИЕ
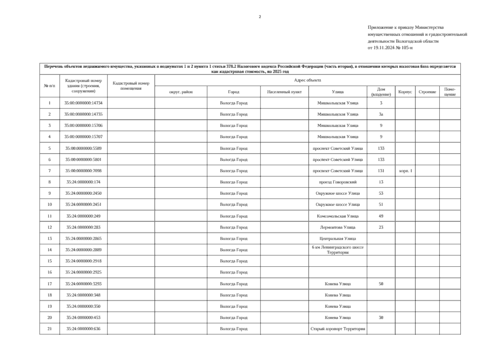
Приказ Министерства имущественных отношений и градостроительной деятельности Вологодской области от 19.11.2024 № 105-н
"О Перечне объектов недвижимого имущества, в отношении которых налоговая база определяется как кадастровая стоимость, на 2025 год"
(Зарегистрирован 19.11.2024 № 105-н)
Номер опубликования: 3501202411200001
Дата опубликования: 20.11.2024
Страница №2 из 615:
Увеличить