Официальное опубликование правовых актов
ОФИЦИАЛЬНОЕ ОПУБЛИКОВАНИЕ
Приказ Департамента топливно-энергетического комплекса и тарифного регулирования Вологодской области от 30.10.2024 № 94-р
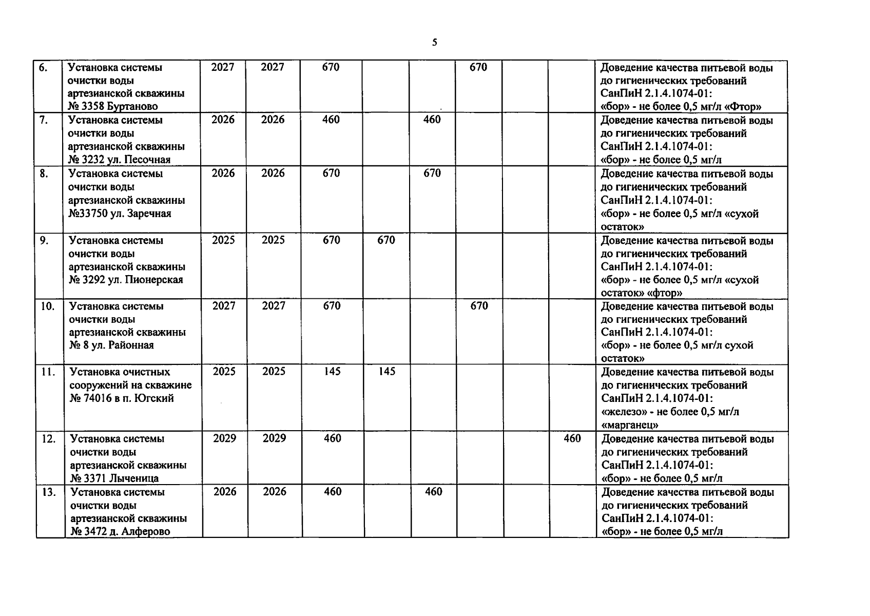
"Об утверждении инвестиционной программы КУ Кичменгско-Городецкого муниципального округа "Центр по обеспечению деятельности органов местного самоуправления и муниципальных учреждений" по развитию, реконструкции и модернизации системы водоснабжения Кичменгско-Городецкого муниципального округа Вологодской области на 2025-2029 годы"
(Зарегистрирован 30.10.2024 № 94-р)
Номер опубликования: 3501202410310028
Дата опубликования: 31.10.2024
Страница №5 из 8:
Увеличить