Официальное опубликование правовых актов
ОФИЦИАЛЬНОЕ ОПУБЛИКОВАНИЕ
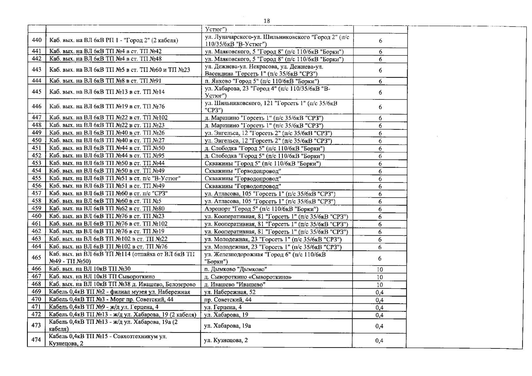
Приказ Департамента топливно-энергетического комплекса и тарифного регулирования Вологодской области от 20.09.2024 № 127
"Об утверждении перечня объектов, подлежащих передаче системообразующей территориальной сетевой организации"
(Зарегистрирован 20.09.2024 № 127)
Номер опубликования: 3501202409230004
Дата опубликования: 23.09.2024
Страница №18 из 39:
Увеличить