Официальное опубликование правовых актов
ОФИЦИАЛЬНОЕ ОПУБЛИКОВАНИЕ
Приказ Комитета по охране объектов культурного наследия Вологодской области от 22.08.2024 № 5-О/01-13
"О включении выявленного объекта культурного наследия "Кинотеатр "Родина", расположенного по адресу: Вологодская область, г. Вологда, ул. Чернышевского, д. 23, в единый государственный реестр объектов культурного наследия (памятников истории и культуры) народов Российской Федерации в качестве объекта культурного наследия регионального значения и утверждения его предмета охраны и границ территории"
(Зарегистрирован 22.08.2024 № 5-О/01-13)
Номер опубликования: 3501202408220004
Дата опубликования: 22.08.2024
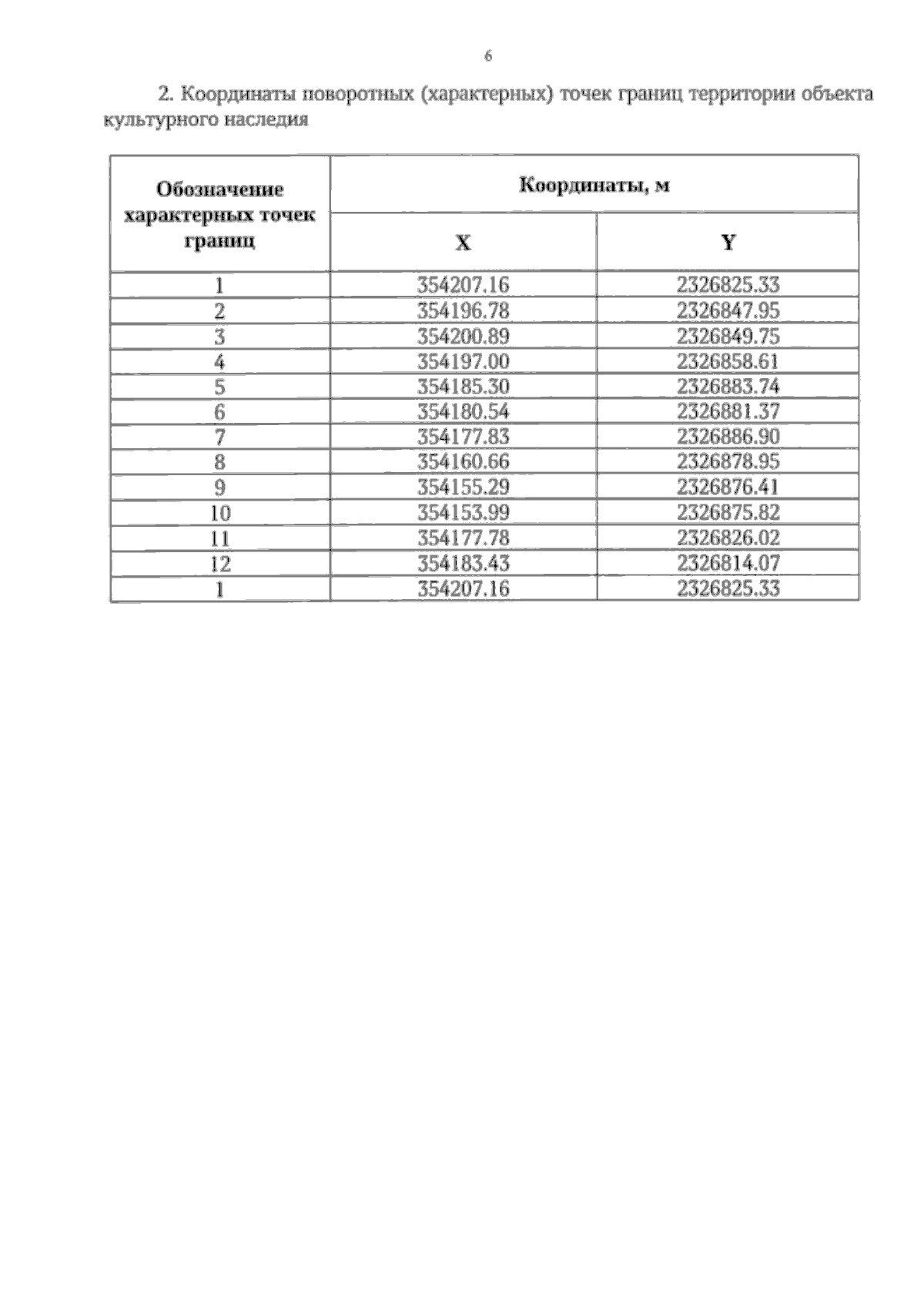
Страница №6 из 6:
Увеличить