Официальное опубликование правовых актов
ОФИЦИАЛЬНОЕ ОПУБЛИКОВАНИЕ
Приказ Комитета по охране объектов культурного наследия Вологодской области от 19.07.2024 № 4-О/01-13
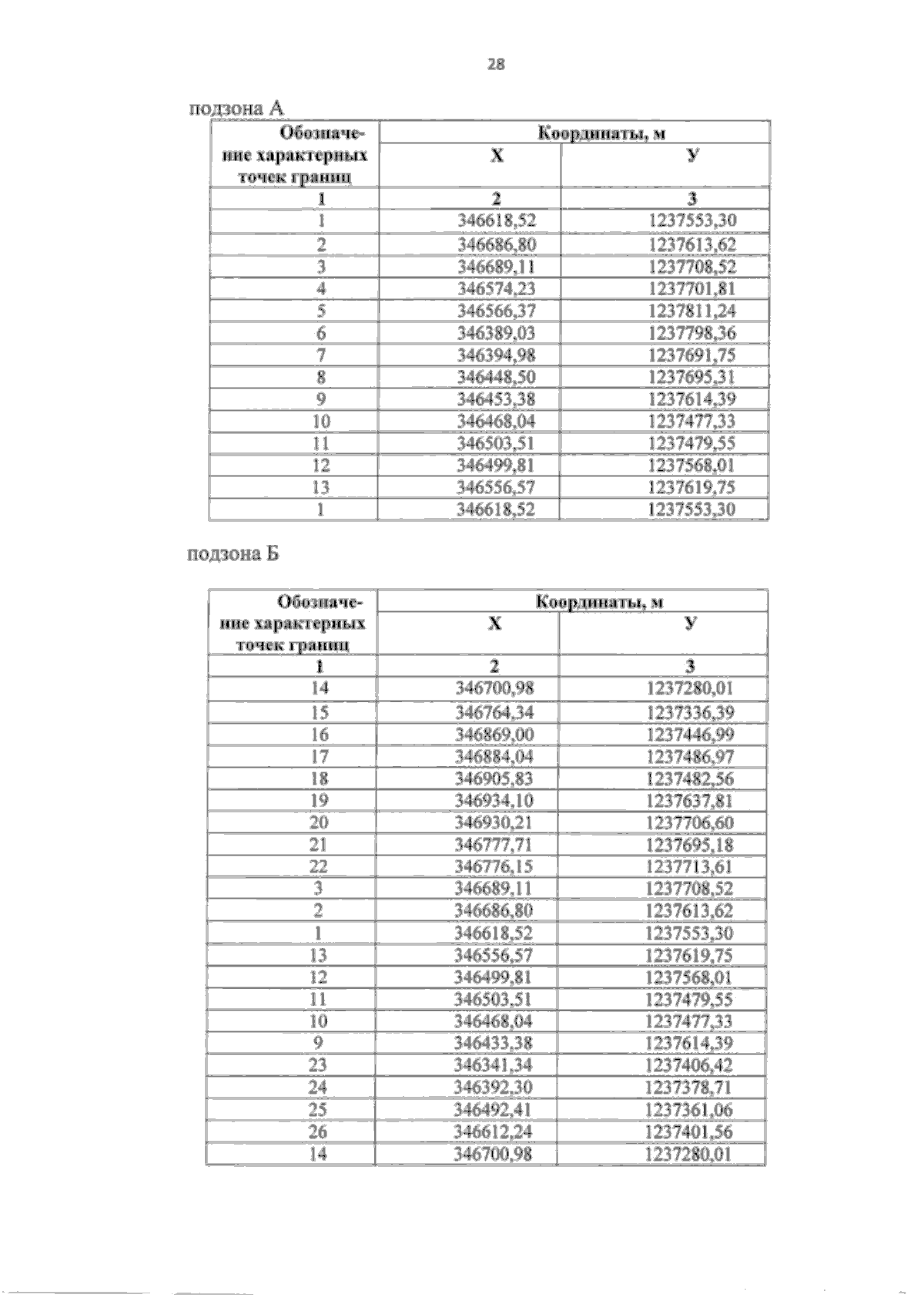
"О включении выявленного объекта культурного наследия "Ансамбль застройки центра п. Чагода, 1920-1930 годов, XX века", расположенного по адресу: Вологодская обл., Чагодощенский район, п. Чагода, в Единый государственный реестр объектов культурного наследия (памятников истории и культуры) народов Российской Федерации в качестве объекта культурного наследия регионального значения и утверждении границ его предмета охраны, границ территории и требований к осуществлению деятельности и градостроительным регламентам в границах территории объекта культурного наследия"
(Зарегистрирован 19.07.2024 № 4-О/01-13)
Номер опубликования: 3501202407190004
Дата опубликования: 19.07.2024
Страница №28 из 54:
Увеличить