Официальное опубликование правовых актов
ОФИЦИАЛЬНОЕ ОПУБЛИКОВАНИЕ
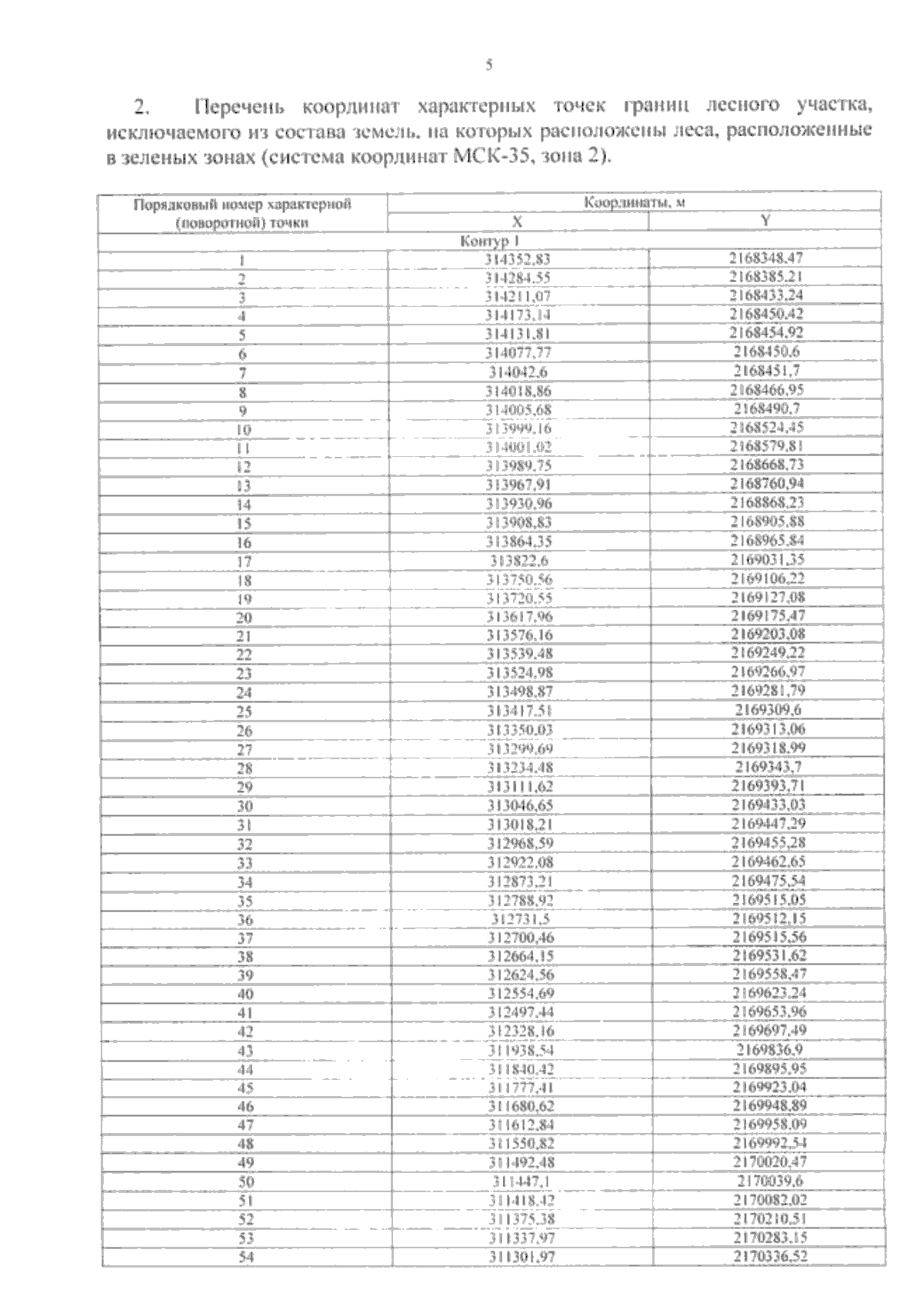
Приказ Департамента природных ресурсов, лесного и охотничьего хозяйства Вологодской области от 25.06.2024 № 737
"Об изменении границ земель, на которых расположены леса, расположенные в зеленых зонах, на территории Череповецкого лесничества Вологодской области"
(Зарегистрирован 25.06.2024 № 737)
Номер опубликования: 3501202406260001
Дата опубликования: 26.06.2024
Страница №5 из 10:
Увеличить