Официальное опубликование правовых актов
ОФИЦИАЛЬНОЕ ОПУБЛИКОВАНИЕ
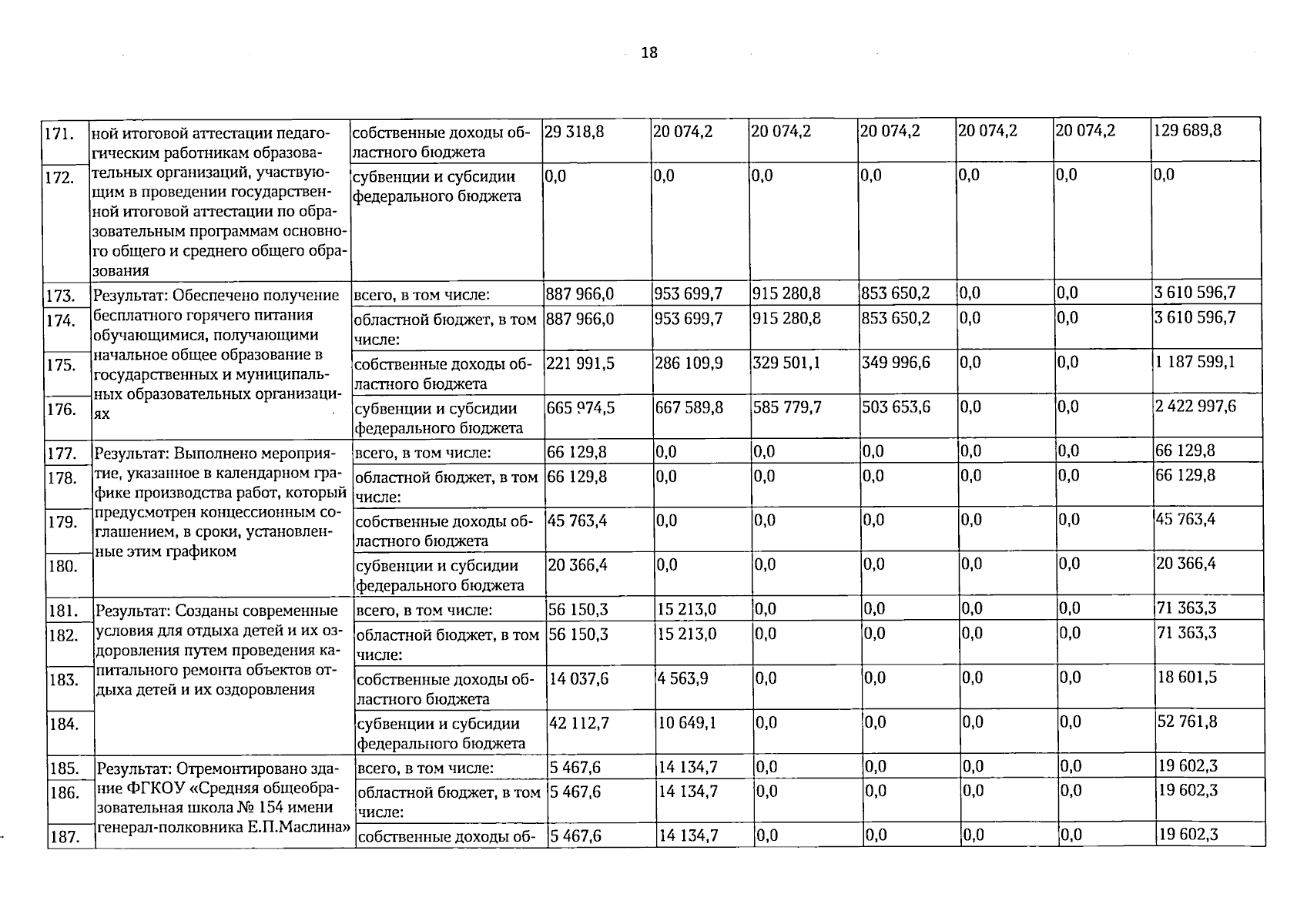
Постановление Правительства Вологодской области от 20.02.2026 № 195
"О внесении изменений в постановление Правительства области от 28 января 2019 года № 74"
Номер опубликования: 3500202602240003
Дата опубликования: 24.02.2026
Страница №18 из 151:
Увеличить